Главная >> Алгебра 9 класс. Макарычев

§ 10. Геометрическая прогрессия

Формула суммы первых n членов геометрической прогрессии

Согласно легенде индийский принц решил наградить изобретателя шахмат и предложил ему самому выбрать награду. Изобретатель шахмат попросил в награду за свое изобретение столько пшеничных зерен, сколько их получится, если на первую клетку шахматной доски положить одно зерно, на вторую — в 2 раза больше, т. е. 2 зерна, на третью — еще в 2 раза больше, т. е. 4 зерна, и так далее до 64-й клетки. Каково же было удивление принца, когда он узнал, что такую, казалось бы, скромную просьбу невозможно выполнить.

Действительно, число зерен, о которых идет речь, является суммой шестидесяти четырех членов геометрической прогрессии, первый член которой равен 1, а знаменатель равен 2. Обозначим эту сумму через S:

    S = 1 + 2 + 22 + 23 + ... + 262 + 263.

Умножим обе части записанного равенства на знаменатель прогрессии, получим

    2S = 2 + 22 + 23 + 24 + ... + 263 + 264.

Вычтем почленно из второго равенства первое и проведем упрощения:

    2S - S - (2 + 22 + ... + 263 + 264) - (1 + 2 + 22 + ... +263),
    S = 264 - 1

Можно подсчитать, что масса такого числа пшеничных зерен больше триллиона тонн. Это заведомо превосходит количество пшеницы, собранной человечеством до настоящего времени.

Выведем теперь формулу суммы первых п членов произвольной геометрической прогрессии. Воспользуемся тем же приемом, с помощью которого была вычислена сумма S.

Пусть дана геометрическая прогрессия (bn). Обозначим сумму первых п ее членов через Sn:

    Sn = b1 + b2 + 63 + ... + bn - 1 + bn.               (1)

Умножим обе части этого равенства на q:

    Snq = b1q + b2q + b3q + ... + bn - 1q + bnq.

Учитывая, что

    b1q = b2, b2q = b3, b3q = b4, ... , bn - 1q = bn,

получим

    Sng = b2 + b3 + b4 + ... + bn + bnq.               (2)

Вычтем почленно из равенства (2) равенство (1) и приведем подобные члены:

    Snq - Sn = (b2 + b3 + ... + bn + bnq) - (61 + b2 + ... + bn - 1 + bn) = bnq - b1,
    Sn(q - 1) = bnq - 61.

Отсюда следует, что при q ≠ 1

Мы получили формулу суммы первых п членов геометрической прогрессии, в которой q ≠ 1. Если g = 1, то все члены прогрессии равны первому члену и Sn = nb1.

При решении многих задач удобно пользоваться формулой суммы первых п членов геометрической прогрессии, записанной в другом виде. Подставим в формулу (I) вместо bn выражение b1qn - 1. Получим

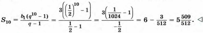
Пример 1. Найдем сумму первых десяти членов геометрической прогрессии (bn), в которой b1 = 3 и

Так как известны первый член и знаменатель прогрессии, то удобно воспользоваться формулой (II). Получим

Продолжение >>>

 

 

???????@Mail.ru