Главная >> Алгебра 9 класс. Макарычев

§ 10. Геометрическая прогрессия

Формула суммы первых n членов геометрической прогрессии (продолжение)

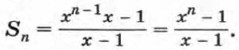
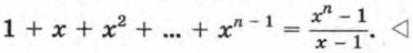
Пример 2. Найдем сумму 1 + х + х2 + ... + хn - 1, где х ≠ 1, слагаемые которой являются последовательными членами геометрической прогрессии 1; х; х2; ... .

Первый член прогрессии равен 1, а знаменатель равен х. Так как хn - 1 является членом этой прогрессии с номером n, то задача состоит в нахождении суммы первых n ее членов. Воспользуемся формулой (I):

Таким образом, если х ≠ 1, то

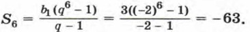
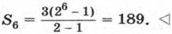
Пример 3. Найдем сумму первых шести членов геометрической прогрессии (bn), если известно, что b3 = 12 и b5 = 48.

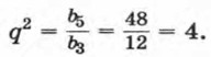
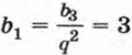
Зная b3 и b5, можно найти знаменатель прогрессии q. Так как b5 = b3q2, то

Значит,

    g = 2 или q = —2.

Таким образом, существуют две прогрессии, удовлетворяющие условию задачи.

Если q = -2, то и

Если q = 2, то b1 = 3 и

Упражнения

648. Найдите сумму первых пяти членов геометрической прогрессии, у которой:

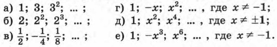
649. Найдите сумму первых шести членов геометрической прогрессии:

650. Вычислите сумму первых девяти членов геометрической прогрессии, если:

    а) c1 = -4, g = 3; б) с1 = 1, q= -2.

651. Докажите, что последовательность (bn) является геометрической прогрессией, и найдите сумму первых n ее членов, если:

    а) bn = 0,2 • 5n; б) bn = 3 • 2n - 1; в) bn = 31 + n.

652. Найдите сумму первых n членов геометрической прогрессии:

653. Найдите сумму первых семи членов геометрической прогрессии (bn), если: а) b7 = 72,9, q= 1,5;

654. Найдите сумму первых пяти членов геометрической прогрессии (хn), если: б) х4 = 121,5, q= -3.

655. Найдите сумму первых шести членов геометрической прогрессии, первый член которой равен 2, а пятый равен 162, если известно, что ее члены с нечетными номерами положительны, а с четными отрицательны.

656. Найдите сумму первых семи членов геометрической прогрессии (bn), в которой b2 = 6 и b4 = 54, если известно, что все ее члены положительны.

657. В геометрической прогрессии, все члены которой положительны, сумма первых двух членов равна 8, а сумма третьего и четвертого членов равна 72. Сколько членов этой прогрессии, начиная с первого, надо сложить, чтобы получить в сумме 242?

<<< К началу          Ответы >>>

 

 

???????@Mail.ru