Главная >> Алгебра 9 класс. Макарычев

Упражнения для повторения курса 7—9 классов

Неравенства (ответы)

1011. Решите неравенство:

    а) х2 + 2х - 15 < 0;
    б) 5х2 - 11х + 2 ≥ 0;
    в) 10 - 3х2 ≤ 5х - 2;
    г) (2х 4- 3)(2 - х) > 3;

    д) 2х2 - 0,5 ≤ 0;
    е) 3х2 + 3,6х > 0;
    ж) (0,2 - х)(0,2 + х) < 0;
    з) х(3х - 2,4) > 0.

1012. Решите неравенство:

    а) (2х + 1)(х 4- 4) - 3х(х + 2) < 0;
    б) (3 - 2)2 - 4х(2х - 3) > 0;
    в) (1 - 6х)(1 + 6х) + 7х(5х - 2) > 14;
    г) (5х + 2)(х - 1) - (2х + 1)(2х - 1) < 27.

1013. Докажите, что при любых х:

    а) трехчлен х2 - 3х + 200 принимает положительные значения;
    б) трехчлен -х2 + 22х - 125 принимает отрицательные значения.

1014. Решите систему неравенств:

1015. Найдите целые решения системы неравенств:

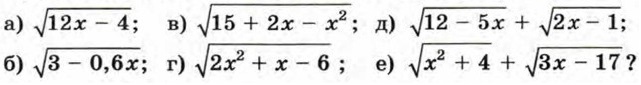
1016. При каких значениях х имеет смысл выражение:

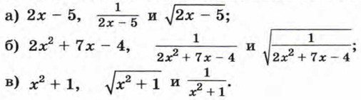
1017. Найдите область определения каждого из выражений:

Ответы

    1001. а) m > -4; б) х >-1,2; в) а ≤ 16; г) b ≥ 4; д) х < 0,1; е) m > -4; ж) у ≤ 10; з) а ≤ -0,5.

    1002. а) х < 3; б) а > -1,5; в) у ≥ 0,16; д) а >11; е) у < -0,4.

    1003. а) При b > -62; б) при b < -0,76.

    1004. а) (-∞; 2,5); г) (-∞; -0,8).

    1005. а) (1; 3); б) решений нет; г) решений нет.

    1006. а) (-3; 0); б) решений нет.

    1007. а) (-5,5; 1); б) (4; +∞); в) (-29; 3); г) решений нет.

    1008. а) -3; -2; -1; 0; б) 2; 3; 4; 5; 6; 7.

    1009. а) (-3; 6); б) [-27; -7]; в) [6; 8); г) [-0,56; 1,2].

    1010. а) При 0 ≤ ж ≤ 5; б) -17 ≤ х ≤ 13.

    1011. а) (-5; 3); г) (-1; 1,5); д) [-0,5; 0,5]; е) (-∞; -1,2) ∪ (0; +∞); ж) (-∞; -0,2) ∪ (0,2; +∞); з) (-∞; 0) ∪ (0,8; +∞).

    1012. а) (-∞; -1) ∪ (4; +∞); б) (-∞; +∞); в) (-13; -1); г) (-4; 7).

    1014. а) [-1; 2,5]; б) (-∞; 2] ∪ [3; 4,5]; в) 3; г) [0; +∞).

    1015. а) 1; 2; 3; 5; 6; б) 2; 3; 4.

    1016. а) При при х ≤ 5; в) при -3 ≤ х ≤ 5; г) при х ≤ -2 и х ≥ 1,5; д) при 0,5 ≤ х ≤ 2,4; е) при

    1017. а) x — любое число; х ≠ 2,5; х ≥ 2,5; б) х — любое число; х ≠ -4 и х ≠ 0,5; х < -4 и х> 0,5; в) х — любое число; х — любое число, х — любое число.

<<< К началу

 

 

???????@Mail.ru