Главная >> Алгебра 9 класс. Макарычев

Упражнения для повторения курса 7—9 классов

Функции

1018. Функция у = ƒ (х), областью определения которой является промежуток [-4; 5], задана графиком (рис. 85). Какова область значений функции? Найдите ƒ(-3), ƒ(—1,5), ƒ(-1), ƒ(1), ƒ(3,5). Найдите координаты точек, в которых график функции пересекает оси координат.

1019. Найдите по графику функции у = ƒ(x) (см. рис. 85) значения аргумента, при которых:

    a) ƒ(x) = 0; б) ƒ(x) > 0; в) ƒ(x) < 0.

1020. Ломаная ABCDE является графиком функции у = ƒ(x) (рис. 86). В каких промежутках эта функция принимает положительные значения и в каких — отрицательные?

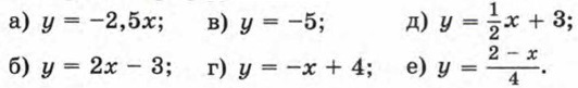
1021. Постройте график функции:

1022. Функция у = ƒ(x) задана формулой При каких значениях аргумента х: a) ƒ(x) = 0; б) ƒ(x) < 0; в) ƒ(x) ≥ 0? Постройте график этой функции.

1023. Какие из линейных функций у = -3x + 9, у = 5х, у = -7, у = 9х - 1, у = —х - 100, у = 1 + 5х являются:

    а) возрастающими; б) убывающими?

1024. Каково взаимное расположение графиков линейных функций:

    а) у = 7х + 16 и у = 7х - 25;
    б) у = 3,5x - 4 и y = -5x - 4;

    в) у = -2,8x и у = -2,8x + 11;
    г) у = 0,6x + 8 и у = -0,6x?

1025. Функция задана формулой у = -x2 + 3. Какова область определения этой функции? Найдется ли такое значение аргумента, при котором значение этой функции равно —1; 1; 5? Постройте график этой функции и укажите ее область значений.

1026. Постройте график функции у = -0,5x2 + x + 1,5. При каких значениях x значение у равно нулю; больше нуля; меньше нуля? В каком промежутке эта функция возрастает и в каком убывает? Каково наибольшее значение этой функции?

1027. Постройте график функции у = х2 - 4х - 5. При каких значениях х функция принимает отрицательные значения? Какие значения принимает функция, если 0 ≤ х ≤ 4?

1028. Постройте график функции:

    а) у = 2х2 - 2;
    б) у = -х2 + 1,5;
    в) у = х2 - 4х;

    г) у = 1,5х2 + 6х;
    д) y = х2 + х - 6;
    е) у = 3х2 - 6х + 5.

Окончание >>>

 

 

???????@Mail.ru