Главная >> Алгебра 9 класс. Макарычев

Упражнения для повторения курса 7—9 классов

Уравнения и системы уравнений (продолжение)

945. Катер прошел 75 км по течению реки и столько же против течения. На весь путь он затратил в 2 раза больше времени, чем ему понадобилось бы, чтобы пройти 80 км в стоячей воде. Какова скорость катера в стоячей воде, если скорость течения равна 5 км/ч?

946. Токарь должен был обработать 240 деталей к определенному сроку. Усовершенствовав резец, он стал обрабатывать в час на 2 детали больше, чем предполагалось по плану, и потому выполнил задание на 4 ч раньше срока. Сколько деталей в час должен был обрабатывать токарь?

947. Сотрудник типографии должен набрать к определенному сроку рукопись объемом 150 страниц. Если он будет набирать на 5 страниц в день больше, чем обычно, то закончит работу на 1 день раньше намеченного срока. Сколько страниц в день обычно набирает сотрудник?

948. Турист отправился на автомашине из города А в город В. Первые 75 км он ехал со скоростью, на 10 км/ч меньшей, чем рассчитывал, а остальной путь со скоростью, на 10 км/ч большей, чем рассчитывал. В город В, который удален от города А на 180 км, турист прибыл вовремя. С какой скоростью он ехал в конце пути?

949. Расстояние от станицы до железнодорожной станции равно 60 км. Мотоциклист выехал из станицы на позже велосипедиста и прибыл на станцию, когда велосипедист был от нее в 21 км. Найдите скорость велосипедиста, если она была на 18 км/ч меньше скорости мотоциклиста.

950. Из села в город, к которому ведет дорога длиной 120 км, выехала легковая автомашина. Через 30 мин из города в село выехал грузовик и встретился с легковой автомашиной в 45 км от города. Найдите скорость грузовика, если она меньше скорости легковой автомашины на 5 км/ч.

951. Решите уравнение:

    а) 4х4 - 17х2 + 4 = 0;
    б) 9х4 + 77x2 - 36 = 0;

    в) 2х4 - 9x2 -5 = 0;
    г) 6x4 - 5x2 - 1 = 0.

952. Решите уравнение, введя новую переменную:

    а) 2(5x - 1)2 + 35л: -11 = 0;
    б) (х2 + х - 3)2 + 12x2 + 12x - 9 = 0.

953. Решите уравнение:

    а) x4 - 16Х2 = 0;
    б) х = x3;
    в) 1,2x3 + х = 0;
    г) 0,4x4 = x3;

    д) х3 + 6x2 - 16x = 0;
    е) х4 + x3 - 6x2 = 0;
    ж) х3 + х2 = 9х + 9;
    з) 2x3 + 8x = х2 + 4.

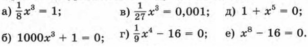
954. Приведите уравнение к виду хn = а и решите его:

955. Изобразив схематически графики, выясните, имеет ли уравнение корни:

956. Решите графически уравнение:

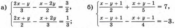
957. Решите систему уравнений:

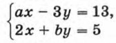
958. Решите систему уравнений:

959. Решите систему уравнений

с переменными х и у, если одним из решений первого уравнения является пара чисел (8; 1), а второго — пара чисел (5; -1).

960. Каково расстояние от точки пересечения прямых 5х - 2у = -25 и -4х + 3у = 27: а) до оси абсцисс; б) до оси ординат; в) до начала координат?

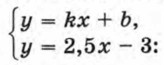
961. Подберите значения k и b так, чтобы система уравнений

    а) не имела решений;
    б) имела бесконечно много решений;
    в) имела единственным решением пару чисел, в которой х = 4.

962. Принадлежит ли точка пересечения прямых -2х + у = 11 и 3х + 2у = 1 прямой:

    а) 10х -Зу = -45; б) -1х + 9 у = 65?

963. Запишите уравнение прямой, которая проходит через точки:

    а) (0; 30) и (6; 0); б) (2; 3) и (-2; 10).

964. Найдите те значения а и b, при которых точки А(2; -3) и В(1; 4) принадлежат параболе у = ах2 + bх.

<<< К началу          Окончание >>>

 

 

???????@Mail.ru