Главная >> Алгебра 9 класс. Макарычев

Алгебра 9 класс.

Задачи повышенной трудности (продолжение)

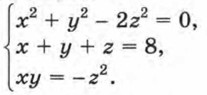
1060. Решите систему уравнений

1061. Найдите значение m, при котором корни уравнения х3 - 9х2 + mх - 15 = 0 образуют арифметическую прогрессию.

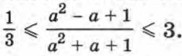
1062. Докажите, что при любом а выполняется неравенство

1063. За сколько часов может выполнить работу каждый из трех рабочих, если производительность труда третьего рабочего равна полусумме производительностей труда первого и второго? Известно, что если бы третий рабочий проработал один 48 ч, то для окончания работы первому потребовалось бы 10 ч, а второму — 15 ч.

1064. Существует ли такое двузначное число, которое при делении на сумму квадратов его цифр дает в частном 2 и в остатке 6, а при делении на произведение цифр дает в частном 4 и в остатке 6?

1065. Последовательности (уn) и (xn) заданы формулами уn = n2 и хn = 2n - 1. Если выписать в порядке возрастания все их общие члены, то получится последовательность (сn). Напишите формулу n-го члена последовательности (сn).

1066. При каких значениях n члены последовательности, заданной формулой хn = (n + 4)(n - 5), удовлетворяют условию -18 ≤ хn ≤ 360?

1067. Найдите сумму первых n членов последовательности (хn), если

1068. В последовательности (xn) каждый член с нечетным номером равен 2а, а с четным равен 2b. Напишите формулу n-го члена этой последовательности.

1069. Известно, что у = ƒ(x) — линейная функция и х1, х2, x3, ... — арифметическая прогрессия. Докажите, что последовательность ƒ(x1), ƒ(x2), ... является арифметической прогрессией.

1070. В арифметической прогрессии а1, а2, а3, а4, состоящей из целых чисел, наибольший член равен сумме квадратов остальных членов. Найдите члены этой прогрессии.

1071. Пусть а1, а2, ... — арифметическая прогрессия с положительными членами. Докажите, что сумма первых n членов последовательности (хn), где равна

1072. Докажите, что если стороны треугольника образуют геометрическую прогрессию, то его высоты также образуют геометрическую прогрессию.

1073. Три различных целых числа составляют геометрическую прогрессию. Их сумма равна -3. Найдите эти числа.

1074. Три целых числа составляют арифметическую прогрессию, первый член которой 1. Если ко второму члену прибавить 3, а третий возвести в квадрат, то получится геометрическая прогрессия. Найдите эти числа.

1075. Докажите, что при любом натуральном значении n > 1 верно неравенство

1076. Упростите выражение:

1077. Докажите, что если х2 + у2 + z2 = ху + уz + zх, то х = у = г.

1078. Решите уравнение с двумя переменными

    х2 + 2√3х + у - 4√у + 7 = 0.

1079. Решите систему уравнений

<<< К началу          Окончание >>>

 

 

???????@Mail.ru