Главная >> Алгебра 9 класс. Макарычев

Алгебра 9 класс.

Задачи повышенной трудности

1036. Найдите корни многочлена

    5 + х4 - 10х3 - 5х2 + 8х + 4.

1037. Если в многочлен ах3 + bх2 + сх + d вместо а, b, с и d подставлять числа -7, 4, -3 и 6 в каком угодно порядке, будут получаться многочлены с одной переменной, например -7х3 + 4х2 - 3х + 6, 4х3 - 7х2 + 6х - 3 и т. д. Докажите, что все такие многочлены имеют общий корень.

1038. Докажите, что многочлен х4 — 4х3 - 6х2 - 3х + 9 не имеет отрицательных корней.

1039. При каком значении а сумма квадратов корней квадратного трехчлена х2 - (а - 2)х - а - 1 принимает наименьшее значение?

1040. Докажите, что при любых значениях а, b и с график функции у = (х - а)(х - b) - с2 имеет хотя бы одну общую точку с осью х.

1041. Постройте график функции:

1042. Найдите координаты общих точек оси х и графика функции

    у = х2 - 4х + |2х - 8|.

1043. При каком значении а графики функций у = х2 - 7х + а и у = -3х2 + 5х - 6 имеют единственную общую точку? Найдите ее координаты.

1044. Докажите, что многочлен х8 + х6 - 4х4 + х2 + 1 не принимает отрицательных значений.

1045. При каких значениях т квадратный трехчлен

    2 + (m - 1)х + m - 1

принимает лишь отрицательные значения?

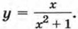
1046. Найдите область значений функции

1047. Сумма квадратов корней х1 и х2 уравнения х2 - 3ах + а2 = 0 равна 1,75. Найдите х1 и х2.

1048. Найдите значения а, при которых один из корней уравнения х2 - 3,75x + а3 = 0 является квадратом другого.

1049. При каком значении m корни уравнения х2 - 2mх + m2 - 1 = 0 принадлежат интервалу (—2; 4)?

1050. При каких значениях а биквадратное уравнение х4 + ах2 + а - 1 = 0 имеет лишь два различных корня?

1051. Решите систему уравнений

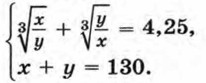
1052. Решите систему уравнений:

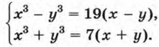
1053. Решите систему уравнений

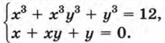
1054. Найдите все решения системы

1055. Решите уравнение

    (x + 3)4 + (х + 5)4 = 4.

1056. Решите уравнение

    (x2 + х)4 - 1 = 0.

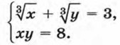
1057. Решите систему уравнений

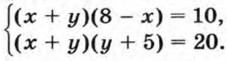
1058. Решите систему уравнений

1059. Знаменатель обыкновенной дроби меньше квадрата ее числителя на 1. Если числитель и знаменатель этой дроби увеличить на 2, то значение дроби станет больше а если числитель и знаменатель уменьшить на 3, то значение дроби станет меньше Найдите такие дроби.

Продолжение >>>

 

 

???????@Mail.ru