Главная >> Астрономия 11 класс. Воронцов-Вельяминов

Строение Солнечной системы

Законы движения планет Солнечной системы

Как известно, эллипсом называется кривая, у которой сумма расстоянии от любой точки Р до его фокусов есть величина постоянная. На рисунках 3.6 и 3.7 обозначены: О — центр эллипса; S и S1 — фокусы эллипса; АВ — его большая ось. Половина этой величины (а), которую обычно называют большой полуосью, характеризует размер орбиты планеты. Ближайшая к Солнцу точка А называется перигелий, а наиболее удалённая от него точка В — афелий. Отличие эллипса от окружности характеризуется величиной его эксцентриситета: е = OS/OA. В том случае, когда эксцентриситет равен 0, фокусы и центр сливаются в одну точку — эллипс превращается в окружность.

    Свойства эллипса

Примечательно, что книга, в которой в 1609 г. Кеплер опубликовал первые два открытых им закона, называлась «Новая астрономия, или Физика небес, изложенная в исследованиях движения планеты Марс...».

Оба этих закона, опубликованные в 1609 г., раскрывают характер движения каждой планеты в отдельности, что не удовлетворило Кеплера. Он продолжил поиски «гармонии» в движении всех планет, и спустя 10 лет ему удалось сформулировать третий закон Кеплера.

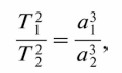
    Квадраты звёздных периодов обращения планет относятся между собой как кубы больших полуосей их орбит.

Формула, выражающая третий закон Кеплера, такова:

    третий закон Кеплера

где T1, и Т2 — периоды обращения двух планет; а1 и а2 — большие полуоси их орбит.

Вот что писал Кеплер после открытия этого закона: «То, что 16 лет тому назад я решил искать, <...> наконец найдено, и это открытие превзошло все мои самые смелые ожидания...»

Действительно, третий закон заслуживает самой высокой оценки. Ведь он позволяет вычислить относительные расстояния планет от Солнца, используя при этом уже известные периоды их обращения вокруг Солнца. Не нужно определять расстояние от Солнца каждой из них, достаточно измерить расстояние от Солнца хотя бы одной планеты. Величина большой полуоси земной орбиты — астрономическая единица (а. е.) — стала основой для вычисления всех остальных расстояний в Солнечной системе.

Пример решения задачи

Противостояния некоторой планеты повторяются через 2 года. Чему равна большая полуось её орбиты?

    Вопросы

1. Сформулируйте законы Кеплера. 2. Как меняется скорость планеты при её перемещении от афелия к перигелию? 3. В какой точке орбиты планета обладает максимальной кинетическои энергией; максимальном потенциальном энергией?

    Упражнение 10

1. Марс в 1,5 раза дальше от Солнца, чем Земля. Какова продолжительность года на Марсе? Орбиты планет считать круговыми. 2. Синодический период внешней малой планеты 500 суток. Определите большую полуось её орбиты и звёздный период обращения.

    Ответы

1. 687 сут.

2. 2,4 а. е., 1350 сут.

    Задание 11

Выполнение этого задания позволит узнать, как располагаются планеты на орбитах в настоящее время, и научиться самостоятельно отыскивать их на небе.

1) Нарисуйте в своей тетради орбиты четырёх ближайших к Солнцу планет: Меркурия, Венеры, Земли и Марса. Чтобы наибольшая из орбит — орбита Марса — уместилась на листе тетради, следует выбрать масштаб, при котором 1 см соответствует 30 млн км (1 : 3 000 000 000 000). Рассчитайте размеры орбит планет и с помощью циркуля проведите окружности соответствующего радиуса. Необходимые данные возьмите из приложения VI.

2) Используйте данные таблицы гелиоцентрических долгот1 планет из «Школьного астрономического календаря» для ответа на следующие вопросы:

    1 Гелиоцентрической долготой называется угол при центре (Солнце) между направлениями на точку весеннего равноденствия и на планету.

а) У какой планеты — Меркурия, Венеры, Земли или Марса — эксцентриситет орбиты наибольший?

б) На какие (примерно) даты приходятся прохождения Меркурия через перигелий; через афелий?

в) Найдите в таблице даты, на которые приходятся соединения планет с Солнцем, а также их противостояний.

3) Пользуясь таблицей гелиоцентрических долгот планет, на орбите каждой планеты отметьте её положения в сентябре — декабре текущего года. Для этого проведите из центра орбит в произвольном направлении луч, который будет указывать направление на точку весеннего равноденствия. От этого луча на каждой орбите в направлении, противоположном движению часовой стрелки, отложите дуги, соответствующие гелиоцентрической долготе данной планеты, и отметьте эти положения.

Для того чтобы узнать, где по отношению к Солнцу располагается на небе та или иная планета, ориентируйте нарисованный план так, чтобы линия, соединяющая на плане положение Земли на данные сутки и Солнца, была направлена в момент наблюдения на Солнце. Те планеты, которые согласно их положению на плане оказываются слева от направления на Солнце, заходят позже него. Планеты, которые находятся справа от этого направления, заходят раньше Солнца, но и восходят раньше него. Для того чтобы узнать, можно ли будет увидеть планеты, необходимо определить, как далеко от Солнца на небе они находятся. Если на плане угол между направлениями с Земли на Солнце и на планету менее 15°, то, скорее всего, планету нельзя будет наблюдать. Она либо зайдет прежде, чем стемнеет, либо взойдет уже после того, как станет светло. Если же планета удалена от Солнца более чем на 15°, то её следует поискать на небе на соответствующем угловом расстоянии от него.

<<< К началу

 

 

???????@Mail.ru