Главная >> Астрономия 11 класс. Воронцов-Вельяминов

§ 13. Определение расстояний и размеров тел в Солнечной системе

1. Форма и размеры Земли

Представление о Земле как о шаре, который свободно, без всякой опоры находится в космическом пространстве, является одним из величайших достижений науки древнего мира.

Считается, что первое достаточно точное определение размеров Земли провёл греческий учёный Эратосфен (276— 194 до н. э.), живший в Египте. Идея, положенная в основу измерений Эратосфена, весьма проста: измерить длину дуги земного меридиана в линейных единицах и определить, какую часть полной окружности эта дуга составляет. Получив эти данные, можно вычислить длину дуги в 1°, а затем длину окружности и величину её радиуса, т. е. радиуса земного шара. Очевидно, что длина дуги меридиана в градусной мере равна разности географических широт двух пунктов: φB — φA.

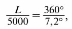
Для того чтобы определить эту разность, Эратосфен сравнил полуденную высоту Солнца в один и тот же день в двух городах, находящихся на одном меридиане. Измерив высоту Солнца hB (рис. 3.8) в полдень 22 июня в Александрии, где он жил, Эратосфен установил, что Солнце отстоит от зенита на 7,2°. В этот день в полдень в городе Сиена (ныне Асуан) Солнце освещает дно самых глубоких колодцев, т. е. находится в зените (hA = 90°). Следовательно, длина дуги составляет 1,2°. Расстояние между Сиеной (A) и Александрией (В) около 5000 греческих стадий — l.

    Способ Эратосфена

Стадией в Древней Греции считалось расстояние, которое проходит легко вооружённый греческий воин за тот промежуток времени, в течение которого Солнце, коснувшееся горизонта своим нижним краем, целиком скроется за горизонт.

Несмотря на кажущееся неудобство такой единицы и достаточную громоздкость словесного определения, её введение выглядело вполне оправданным, учитывая, что строгая периодичность небесных явлений позволяла использовать их движение для счёта времени.

Обозначив длину окружности земного шара через L, получим такое выражение:

    длину окружности земного шара

откуда следует, что длина окружности земного шара равняется 250 тыс. стадий.

Точная величина стадии в современных единицах неизвестна, но, зная, что расстояние между Александрией и Асуаном составляет 800 км, можно полагать, что 1 стадия = 160 м. Результат, полученный Эратосфеном, практически не отличается от современных данных, согласно которым длина окружности Земли составляет 40 тыс. км.

Эратосфен ввёл в практику использование терминов «широта» и «долгота». Видимо, появление этих терминов связано с особенностями формы карт того времени: они повторяли по очертаниям побережье Средиземного моря, которое длиннее по направлению запад—восток (по долготе), чем с севера на юг (по широте).

Определить географическую широту двух пунктов оказывается гораздо проще, чем измерить расстояние между ними. Зачастую непосредственное измерение кратчайшего расстояния между этими пунктами оказывается невозможным из-за различных естественных препятствий (гор, рек и т. п.). Поэтому применяется способ, основанный на явлении параллактического смещения и предусматривающий вычисление расстояния на основе измерений длины одной из сторон (базиса — ВС) и двух углов В и С в треугольнике AВС (рис. 3.9).

    Параллактическое смещение

    Параллактическим смещением называется изменение направления на предмет при перемещении наблюдателя.

Окончание >>>

 

 

???????@Mail.ru