Главная >> Геометрия 7—9 классы. Атанасян

Глава VII. Подобные треугольники

Дополнительные задачи к главе VII

604. Треугольники АВС и А1В1С1 подобны, АВ = 6 см, ВС- 9 см, С А = 10 см. Наибольшая сторона треугольника А1В1С1 равна 7,5 см. Найдите две другие стороны треугольника А1В1С1.

605. Диагональ АС трапеции ABCD делит её на два подобных треугольника. Докажите, что АС2 = а • b, где а и b — основания трапеции.

606. Биссектрисы MD и NK треугольника MNP пересекаются в точке О. Найдите отношение OK : ON, если MN = 5 см, NP = 3 см, МР = 7 см.

607. Основание равнобедренного треугольника относится к боковой стороне как 4 : 3, а высота, проведённая к основанию, равна 30 см. Найдите отрезки, на которые эту высоту делит биссектриса угла при основании.

608. На продолжении боковой стороны ОВ равнобедренного треугольника АО В с основанием АВ взята точка С так, что точка В лежит между точками О и С. Отрезок АС пересекает биссектрису угла АОВ в точке М. Докажите, что AM < МС.

609. На стороне ВС треугольника АВС взята точка D так, что Докажите, что AD — биссектриса треугольника АВС.

610. Прямая, параллельная стороне АВ треугольника АВС, делит сторону АС в отношении 2 : 7, считая от вершины А. Найдите стороны отсечённого треугольника, если АВ = 10см, ВС = 18 см, СА = 21,6 см.

611. Докажите, что медиана AM треугольника АВС делит пополам любой отрезок, параллельный стороне ВС, концы которого лежат на сторонах АВ и АС.

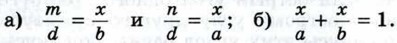
612. Два шеста АВ и CD разной длины а и b установлены вертикально на некотором расстоянии друг от друга так, как показано на рисунке 210. Концы А и D, В и С соединены верёвками, которые пересекаются в точке О. По данным рисунка докажите, что:

Найдите х и докажите, что х не зависит от расстояния d между шестами АВ и CD.

613. Докажите, что треугольники АВС и А1В1С1 подобны, если:

где ВМ и В1М1 — медианы треугольников;

б) ∠А = ∠A1, где ВН и В1Н1 — высоты треугольников АВС и A1B1C1.

614. Диагонали прямоугольной трапеции ABCD с прямым углом А взаимно перпендикулярны. Основание АВ равно 6 см, а боковая сторона AD равна 4 см. Найдите DC, DB и СВ.

Продолжение >>>

 

 

???????@Mail.ru