Главная >> Геометрия 7—9 классы. Атанасян

Глава VII. Подобные треугольники

Дополнительные задачи к главе VII (продолжение)

615.* Отрезок с концами на боковых сторонах трапеции параллелен её основаниям и проходит через точку пересечения диагоналей. Найдите длину этого отрезка, если основания трапеции равны а и b.

616. Докажите, что вершины треугольника равноудалены от прямой, содержащей его среднюю линию.

617. Докажите, что середины сторон ромба являются вершинами прямоугольника.

618. Точки М и N являются соответственно серединами сторон CD и ВС параллелограмма ABCD. Докажите, что прямые AM и AN делят диагональ BD на три равные части.

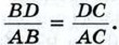
619. Биссектриса внешнего угла при вершине А треугольника АВС пересекает прямую ВС в точке D. Докажите, что

620. В треугольнике АВС (АВ≠ АС) через середину стороны ВС проведена прямая, параллельная биссектрисе угла А, которая пересекает прямые АВ и АС соответственно в точках D и Е. Докажите, что BD = CE.

621. В трапеции ABCD с основаниями AD и ВС сумма оснований равна b, диагональ АС равна a, ∠ACB = α. Найдите площадь трапеции.

622. На стороне AD параллелограмма ABCD отмечена точка К так, что Диагональ АС и отрезок В К пересекаются в точке Р. Найдите площадь параллелограмма ABCD, если площадь треугольника АРК равна 1 см2.

623. В прямоугольной трапеции ABCD с основаниями AD и ВС ∠A = ∠B = 90°, ∠ACD = 90°, ВС = 4 см, AD = 16 см. Найдите углы С и D трапеции.

624. Докажите, что медианы треугольника разбивают его на шесть треугольников, площади которых попарно равны.

625. Основание AD равнобедренной трапеции ABCD в 5 раз больше основания ВС. Высота ВН пересекает диагональ АС в точке М, площадь треугольника АМН равна 4 см2. Найдите площадь трапеции ABCD.

626. Докажите, что треугольники АВС и А1В1С1 подобны, если где AD и A1D1 — биссектрисы треугольников.

Задачи на построение

627. Дан треугольник АВС. Постройте треугольник А1В1С1, подобный треугольнику АВС, площадь которого в два раза больше площади треугольника АВС.

628. Даны три отрезка, длины которых соответственно равны а, b и с. Постройте отрезок, длина которого равна

629. Постройте треугольник, если даны середины его сторон.

630. Постройте треугольник по стороне и медианам, проведённым к двум другим сторонам.

<<< К началу          Ответы >>>

 

 

???????@Mail.ru