Главная >> Геометрия 7—9 классы. Атанасян

Глава VII. Подобные треугольники

Ответы к дополнительным задачам к главе VII. Подобные треугольники

    604. А1В1 = 4,5 см, B1C1 = 6,75 см.

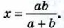
    606.

    607. 18 см, 12 см.

    608. Указание. Воспользоваться задачей 535.

    609. Указание. Воспользоваться задачей 535.

    610. 16,8см, 14см,

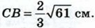
    612.

    613. Указание. Сначала доказать, что:

    614. DB = 2√13 см, Указание. Сначала доказать, что

    615.

    619. Указание. Пусть точка В лежит между С и D. К треугольникам ABD и ACD дважды применить следствие 2 из первой теоремы п. 53.

    620. Указание. Воспользоваться задачей 535.

    621.

    622. 60 см2.

    623. ∠C= 150°, ∠D = 30°.

    625. 18см2.

    626. Указание. Воспользова задачей 535.

    630. Указание. Воспользоваться задачей 1, п. 64.

<<< К началу

 

 

???????@Mail.ru