Главная >> Геометрия 7—9 классы. Атанасян

§ 1. Касательная к окружности

Взаимное расположение прямой и окружности

В этой главе мы вернёмся к одной из основных геометрических фигур — к окружности. Будут доказаны различные теоремы, связанные с окружностями, в том числе теоремы об окружностях, вписанных в треугольник, четырёхугольник, и окружностях, описанных около этих фигур. Кроме того, будут доказаны три утверждения о замечательных точках треугольника — точке пересечения биссектрис треугольника, точке пересечения его высот и точке пересечения серединных перпендикуляров к сторонам треугольника. Первые два утверждения были сформулированы ещё в 7 классе, и вот теперь мы сможем провести их доказательства.


Выясним, сколько общих точек могут иметь прямая и окружность в зависимости от их взаимного расположения. Ясно, что если прямая проходит через центр окружности, то она пересекает окружность в двух точках — концах диаметра, лежащего на этой прямой.

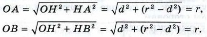
Пусть прямая р не проходит через центр О окружности радиуса г. Проведём перпендикуляр ОН к прямой р и обозначим буквой d длину этого перпендикуляра, т. е. расстояние от центра данной окружности до прямой (рис. 211).

Исследуем взаимное расположение прямой и окружности в зависимости от соотношения между d и r. Возможны три случая.

1) d < r. На прямой р от точки Н отложим два отрезка НА и НВ, длины которых равны (рис. 211, а). По теореме Пифагора

Следовательно, точки А и В лежат на окружности и, значит, являются общими точками прямой р и данной окружности.

Окончание >>>

 

 

???????@Mail.ru