Главная >> Геометрия 7—9 классы. Атанасян

§ 2. Простейшие задачи в координатах

Простейшие задачи в координатах

Введение системы координат даёт возможность изучать геометрические фигуры и их свойства с помощью уравнений и неравенств и, таким образом, использовать в геометрии методы алгебры. Такой подход к изучению свойств геометрических фигур называется методом координат.

Решим три вспомогательные задачи а) — в).

а) Координаты середины отрезка. Пусть в системе координат Оху точка А имеет координаты (х1; у1), а точка В — координаты (х2; у2). Выразим координаты (х; у) середины С отрезка АВ через координаты его концов.

Так как точка С — середина отрезка АВ, то

(Это равенство было доказано в п. 87.)

Координаты векторов равны соответствующим координатам точек С, А к В: Записывая равенство (1) в координатах, получим:

Таким образом, каждая координата середины отрезка равна полусумме соответствующих координат его концов.

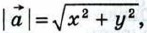
б) Вычисление длины вектора по его координатам. Докажем, что длина вектора (x; у) вычисляется по формуле

    Вычисление длины вектора по его координатам.

Отложим от начала координат вектор и проведём через точку А перпендикуляры АА1 и АА2 к осям Ох и Оу (рис. 280). Координаты точки А равны координатам вектора т. е. (х; у). Поэтому ОА1 = |х|, АА1 = ОА2 = |y| (мы рассматриваем случаи, когда х ≠ 0 и у ≠ 0; другие случаи рассмотрите самостоятельно). По теореме Пифагора

    По теореме Пифагора

    Рис. 280

Но поэтому что и требовалось доказать.

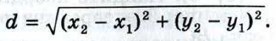
в) Расстояние между двумя точками. Пусть точка М1 имеет координаты (х1; у1), а точка М2 — координаты (х2; у2). Выразим расстояние d между точками М1 и М2 через их координаты.

Рассмотрим вектор Его координаты равны {х2 - х1, у2 - y1}. Следовательно, длина этого вектора может быть найдена по формуле

    Длина вектора

Но Таким образом, расстояние d между точками М1 (x1; у1) и М22; у2) выражается формулой

    расстояние между точками

 

 

???????@Mail.ru