Главная >> Геометрия 7—9 классы. Атанасян

§ 3. Скалярное произведение векторов

Скалярное произведение в координатах

Скалярное произведение двух векторов можно вычислить, зная координаты этих векторов.

Теорема

В прямоугольной системе координат скалярное произведение векторов α {x1; y1) и β {х2; у2} выражается формулой

Доказательство

Если хотя бы один из векторов и нулевой, то справедливость равенства (2) очевидна, так как координаты нулевого вектора равны нулю. Рассмотрим случай, когда векторы и ненулевые. Отложим от произвольной точки О векторы Если векторы и не коллинеарны (рис. 304, а), то по теореме косинусов

    АВ2 = ОА2 + ОВ2 - 2OА • ОВ • cos α.             (3)

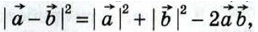
Это равенство верно и в том случае, когда векторы и коллинеарны (рис. 304, б, в).

    Рис. 304

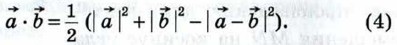
Так как то равенство (3) можно записать так:

Векторы , и - имеют координаты {x1; y1}, {х2; у2} и {х2 - х1; у2 - у1}, поэтому

Подставив эти выражения в правую часть равенства (4), после несложных преобразований получим формулу (2). Теорема доказана.

Следствие 1

Ненулевые векторы {x1; y1} и 2; у2} перпендикулярны тогда и только тогда, когда x1x2 + y1y2 = 0.

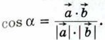
Следствие 2

Косинус угла α между ненулевыми векторами 1; у1} и 2; у2} выражается формулой

В самом деле, так как cos α, то

Подставив сюда выражения для || и || через координаты векторов и получим формулу (5).

 

 

???????@Mail.ru