Главная >> Геометрия 7—9 классы. Атанасян

§ 3. Скалярное произведение векторов

Свойства скалярного произведения векторов

Скалярное произведение векторов обладает следующими свойствами:

Для любых векторов и любого числа k справедливы соотношения:

Утверждение 10 непосредственно следует из формулы а утверждение 20 — из определения скалярного произведения. Докажем Утверждения 30 и 40.

Введём прямоугольную систему координат и обозначим координаты векторов так:

Используя формулу (2), получаем

Утверждение 30 доказано.

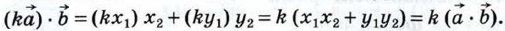
Докажем теперь утверждение 40. Вектор имеет координаты {kx1; ky1}, поэтому

Замечание

Ясно, что распределительный закон имеет место для любого числа слагаемых. Например,

 

 

???????@Mail.ru