Главная >> Домашние работы к учебнику Макарычева. Алгебра 8 класс

§ 5. Арифметический квадратный корень

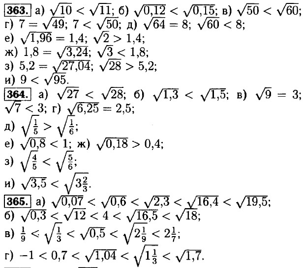
Функция у = √х и ее график

 

 

???????@Mail.ru