Главная >> Домашние работы к учебнику Макарычева. Алгебра 8 класс

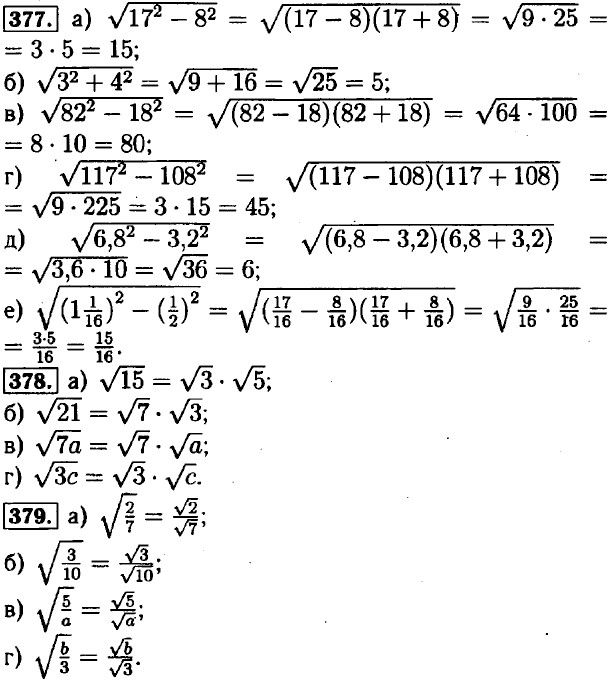
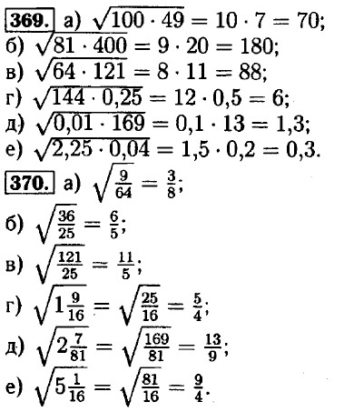
§ 6. Свойства арифметического квадратного корня

Квадратный корень из произведения и дроби

Окончание >>>

 

 

???????@Mail.ru