Главная >> ГДЗ к учебнику Макарычева. Алгебра 8 класс

§ 6. Свойства арифметического квадратного корня

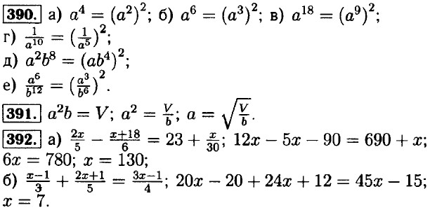
Квадратный корень из произведения и дроби (окончание)

<<< К началу

 

 

???????@Mail.ru