Главная >> Домашние работы к учебнику Макарычева. Алгебра 8 класс

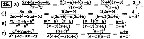
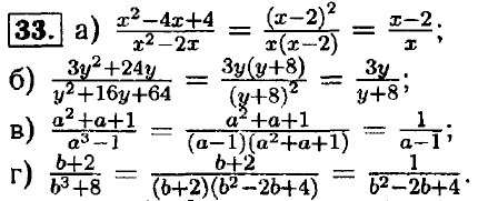
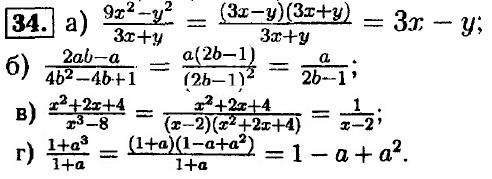
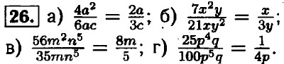
§ 1. Рациональные дроби и их свойства

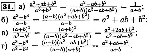
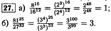
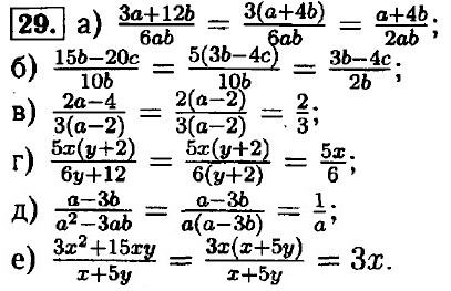
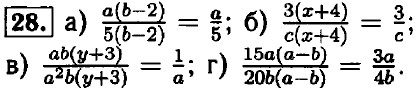
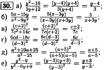
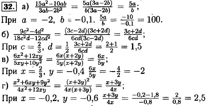
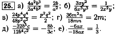
Основное свойство дроби. Сокращение дробей

Окончание >>>

 

 

???????@Mail.ru