Главная >> ГДЗ к учебнику Макарычева. Алгебра 8 класс

§ 1. Рациональные дроби и их свойства

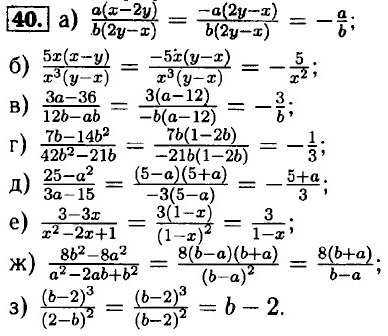
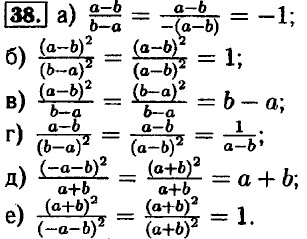
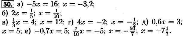
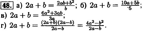
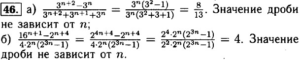
Основное свойство дроби. Сокращение дробей. Алгебра

<<< К началу

 

 

???????@Mail.ru