Главная >> Домашние работы к учебнику Макарычева. Алгебра 8 класс

§ 2. Сумма и разность дробей

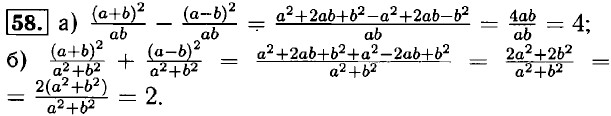
Сложение и вычитание дробей с одинаковыми знаменателями. Алгебра

Окончание >>>

 

 

???????@Mail.ru