Главная >> ГДЗ к учебнику Макарычева. Алгебра 8 класс

§ 2. Сумма и разность дробей

Сложение и вычитание дробей с одинаковыми знаменателями

68. При n = 1; 2; 3; 6 дробь принимает положительные значения.

69. При m = ±1; ±11 дробь принимает целые значения.

70. а) 3 (5х - 4) - 8х = 4x + 9; 15х - 12 - 8х = 4х + 9; 7х - 4х - 12 + 9; 3х = 21; х = 7;

б) 19х - 8 (х - 3) = 66 - 3x; 19х - 8х + 24 = 66 - 3х; 11х + 3х = 66 - 24; 14х = 42; х = 3;

в) 0,2 (0,7х - 5) + 0,02 = 1,4 (х - 1,6); 0,14х - 1 + 0,02 = 1,4х - 2,24; 1,26х = 1,26; х = 1;

г) 2,7 (0,1х + 3,2) + 0,6 (1,3 - х) = 16,02; 0,27х + 8,64 + 0,78 - 0,6х = 16,02; -0,33х = 6,6; х = -20.

71. а) 8х4 - 16х3у = 8х3(х - 2у);

б) 15ху5 + 10у2 = 5у2(3ху3 + 2);

в) 8а2 - 50у2 = 2 (4а2 - 25у2) = 2(2а - 5у)(2а + 5у);

г) 18b2 - 98а2 = 2 (9b2 - 49а2) = 2(3b - 7а)(3b + 7а);

д) х3 - 125 = (х - 5)(х2 + 5х + 25);

е) у3 + 8 = (у + 2)(у2 - 2у + 4);

ж) аb + 8а + 9b + 72 = а(b + 8) + 9(b + 8) = (а + 9)(b + 8);

з) 6m - 12 - 2n + mn - 6(m - 2) + n(m - 2) = (6 + n)(m - 2).

72. 2а + 25 ≠ 0; 2а ≠ -25; а ≠ -12,5;

9 + у2 ≠ 0; у2 ≠ -9.у — любое число;

3x ≠ 0 и x + 12 ≠ 0; х ≠ 0 и x ≠ -12;

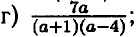
а + 1 ≠ = 0 и а - 4 ≠ 0; а ≠ -1 и а ≠ 4.

<<< К началу

 

 

???????@Mail.ru