Главная >> Домашние работы к учебнику Макарычева. Алгебра 8 класс

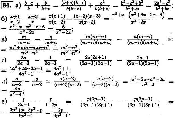
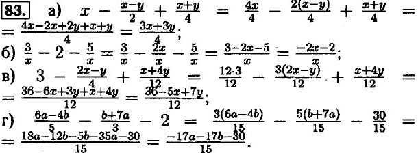
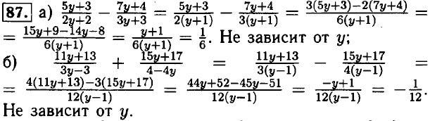
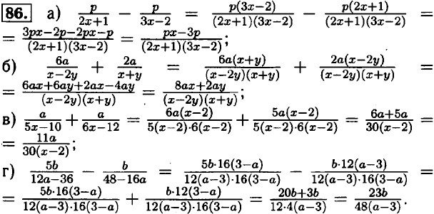
§ 2. Сумма и разность дробей

Сложение и вычитание дробей с разными знаменателями

Окончание >>>

 

 

???????@Mail.ru