Главная >> Домашние работы к учебнику Макарычева. Алгебра 8 класс

Глава 2. Квадратные корни

Дополнительные упражнения к главе 2. Квадратные корни

454. а) Да; б) Нет; в) Да; г) Нет.

455. а) Да; б) Да; в) Да; г) Нет.

456. а) Да; б) Да; в) Да; г) Да.

457. Пусть х = 2n; у = 2m; где n и m целые числа.

а) х - у = 2n - 2m = 2(n - m) — четное число;

б) ху = 2n • 2m = 4nm — четное число;

в) 3x + у = 6n + 2m = 2(3n + m) — четное число.

458. Пусть х = 2n + 1; у — 2m + 1; где n и m целые числа, а) х + у = 2n + 1 + 2m + 1 — 2n + 2m + 2 = 2(n + m + 1) — четное число;

б) х - у = 2n + 1 - 2m - 1 = 2n - 2m = 2(n - m) — четное число;

в) ху = (2n + 1) (2m + 1) = 4mn + 2n + 2m + 1 = 2 (2mn + m + n) + 1 — не четное число.

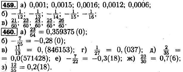
461. Рациональные 10,01; 10,002. Иррациональные 10,001000100001 ...; 10,00245871235465 ...

462. а) Иррациональное число; б) Иррациональное число.

Окончание >>>

 

 

???????@Mail.ru