Главная >> Домашние работы к учебнику Макарычева. Алгебра 8 класс

§ 7. Применение свойств арифметического квадратного корня

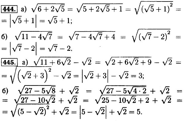
Преобразование двойных радикалов

 

 

???????@Mail.ru