Главная >> ГДЗ к учебнику Макарычева. Алгебра 8 класс

Глава 3. Квадратные уравнения

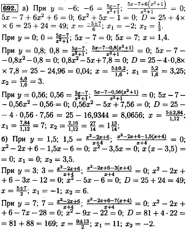
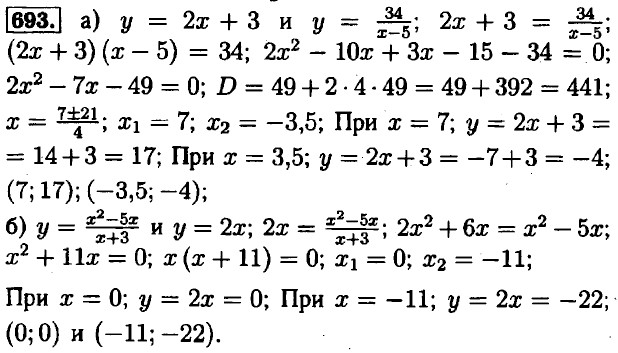
Дополнительные упражнения к главе 3. Квадратные уравнения (окончание)

<<< К началу

 

 

???????@Mail.ru