Главная >> Домашние работы к учебнику Макарычева. Алгебра 8 класс

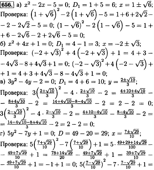
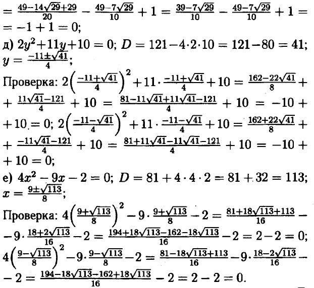
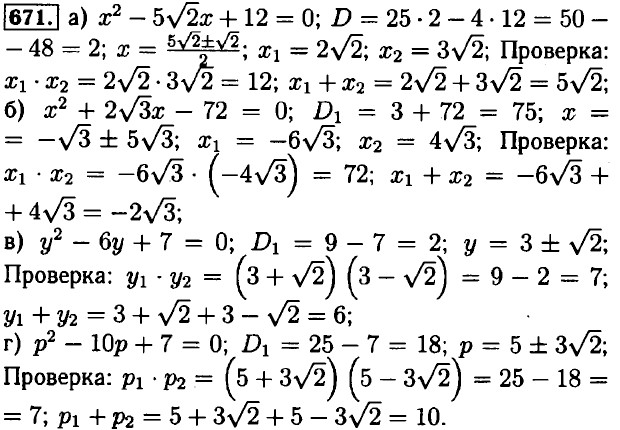
Глава 3. Квадратные уравнения

Дополнительные упражнения к главе 3. Квадратные уравнения

Окончание >>>

 

 

???????@Mail.ru