Главная >> Домашние работы к учебнику Макарычева. Алгебра 8 класс

§ 9. Дробные рациональные уравнения

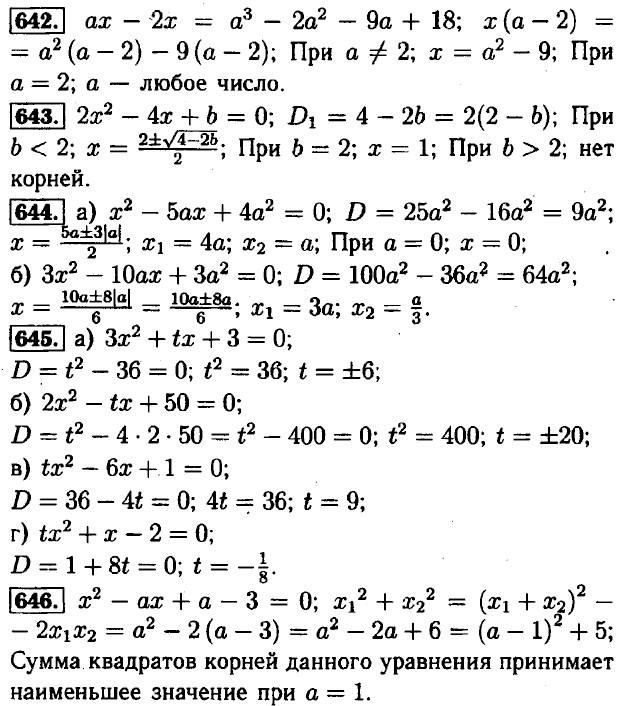
Уравнения с параметром

 

 

???????@Mail.ru