Главная >> ГДЗ к учебнику Макарычева. Алгебра 8 класс

§ 11. Неравенства с одной переменной и их системы

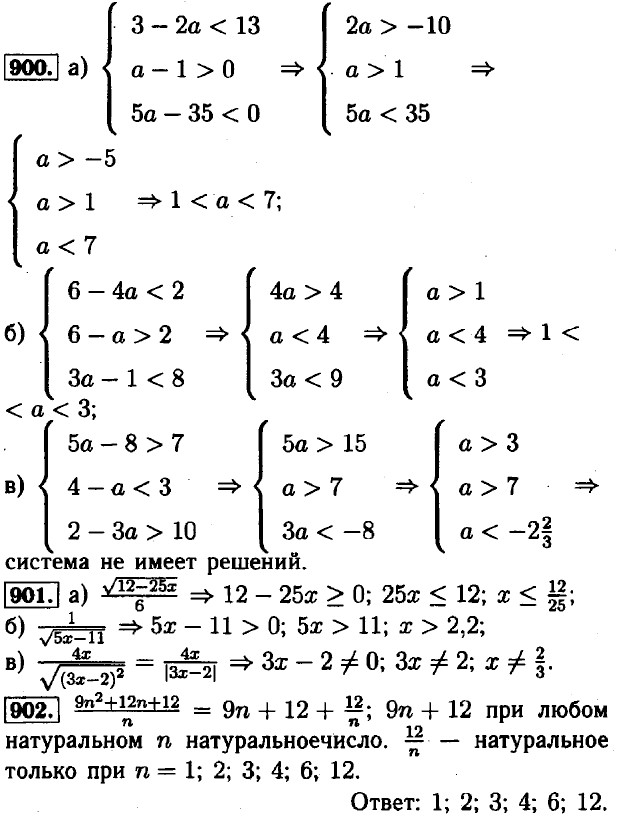
Решение систем неравенств с одной переменной (окончание)

<<< К началу

 

 

???????@Mail.ru