Главная >> Домашние работы к учебнику Макарычева. Алгебра 8 класс

§ 11. Неравенства с одной переменной и их системы

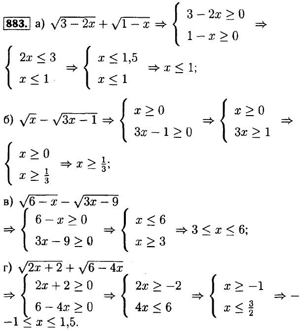
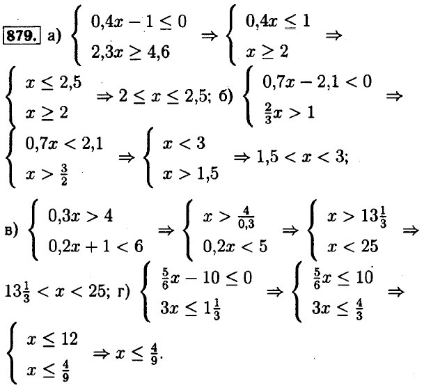
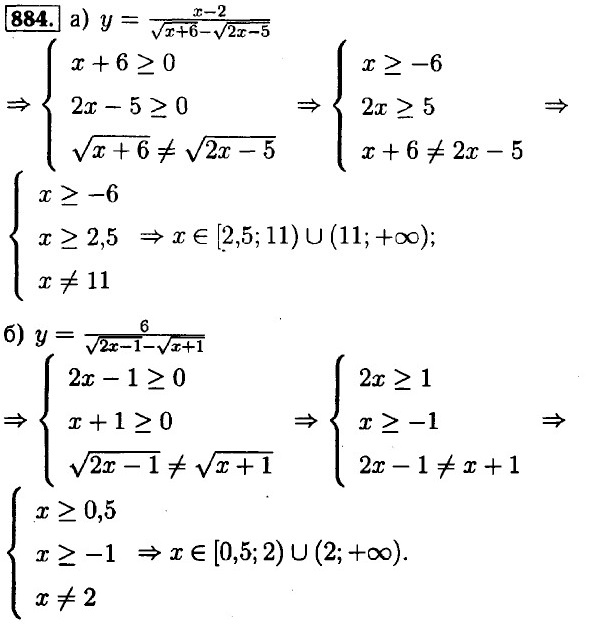
Решение систем неравенств с одной переменной

Окончание >>>

 

 

???????@Mail.ru