Главная >> Домашние работы к учебнику Макарычева. Алгебра 8 класс

§ 3. Произведение и частное дробей

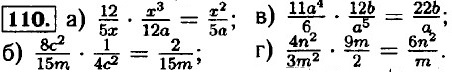
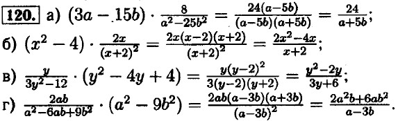
Умножение дробей. Возведение дроби в степень

Окончание >>>

 

 

???????@Mail.ru