Главная >> ГДЗ к учебнику Макарычева. Алгебра 8 класс

§ 3. Произведение и частное дробей

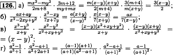
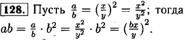
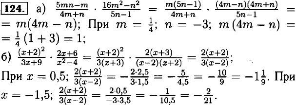
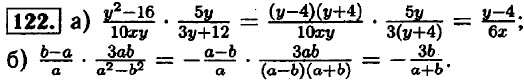
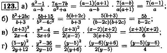
Умножение дробей. Возведение дроби в степень (окончание)

<<< К началу

 

 

???????@Mail.ru