Главная >> Домашние работы к учебнику Макарычева. Алгебра 8 класс

§ 3. Произведение и частное дробей

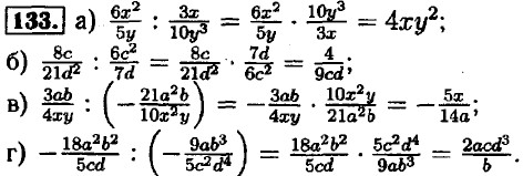
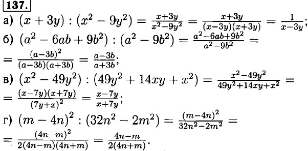
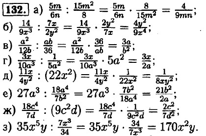
Деление дробей

Окончание >>>

 

 

???????@Mail.ru