Главная >> ГДЗ к учебнику Макарычева. Алгебра 9 класс

§ 6. Неравенства с одной переменной

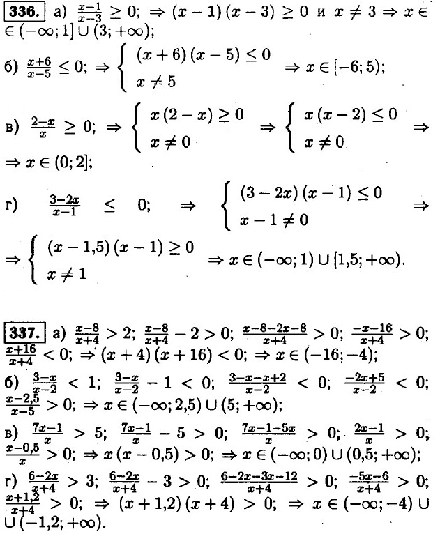
Решение неравенств методом интервалов (окончание)

<<< К началу

 

 

???????@Mail.ru