Главная >> Домашние работы к учебнику Макарычева. Алгебра 9 класс

§ 6. Неравенства с одной переменной

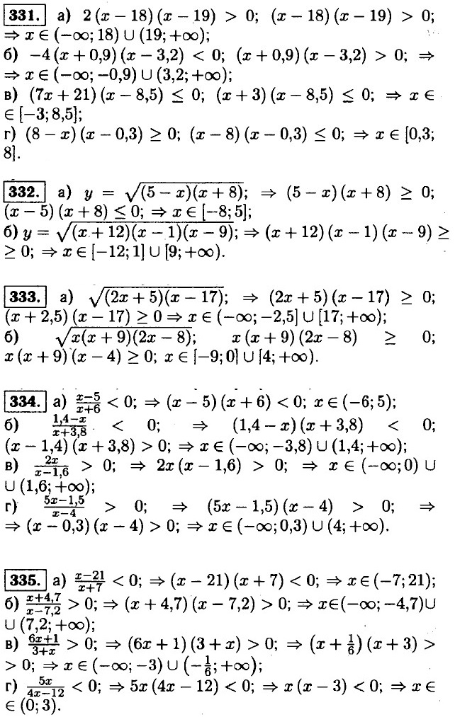
Решение неравенств методом интервалов

Окончание >>>

 

 

???????@Mail.ru