Главная >> ГДЗ к учебнику Макарычева. Алгебра 9 класс

§ 7. Уравнения с двумя переменными и их системы

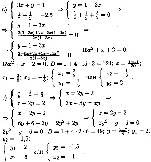
Решение систем уравнений второй степени (окончание)

<<< К началу

 

 

???????@Mail.ru