Главная >> Домашние работы к учебнику Макарычева. Алгебра 9 класс

§ 7. Уравнения с двумя переменными и их системы

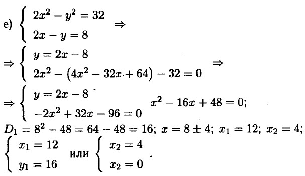
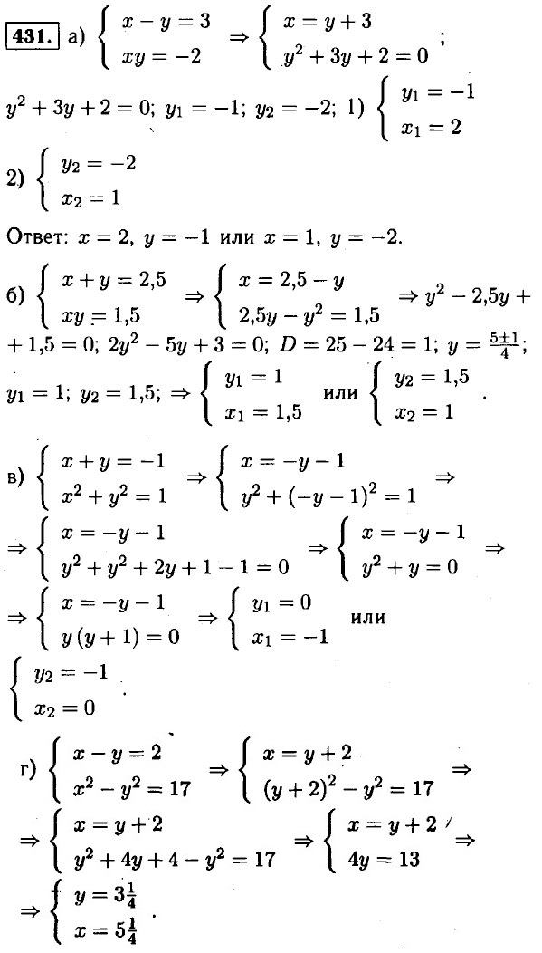
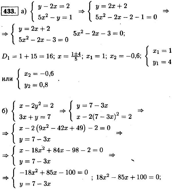
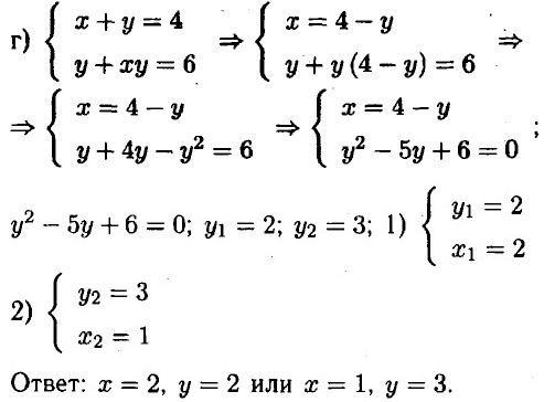
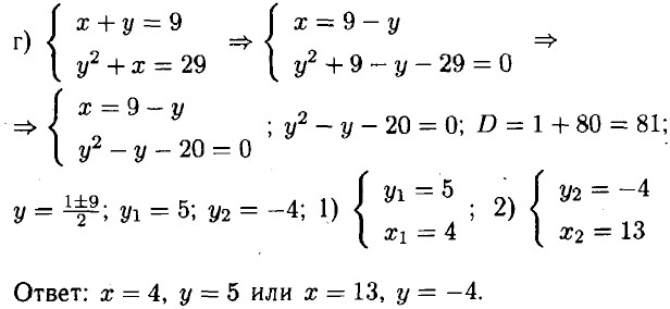
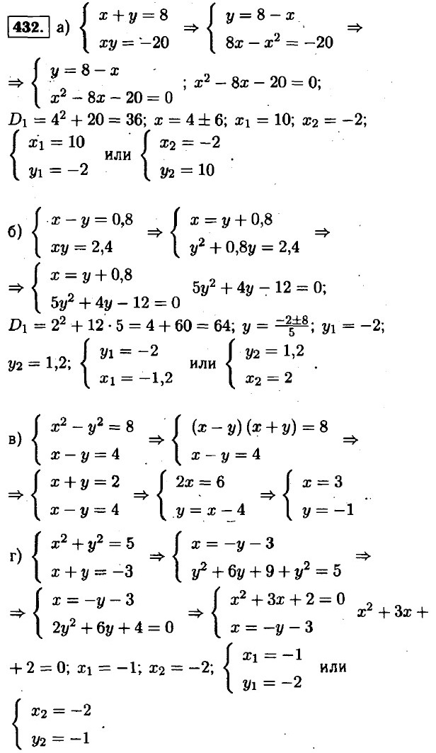
Решение систем уравнений второй степени

Окончание >>>

 

 

???????@Mail.ru