Главная >> ГДЗ к учебнику Макарычева. Алгебра 9 класс

§ 8. Неравенства с двумя переменными и их системы

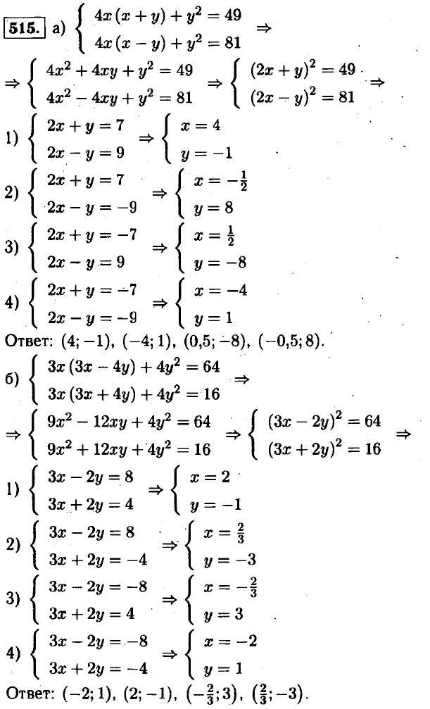
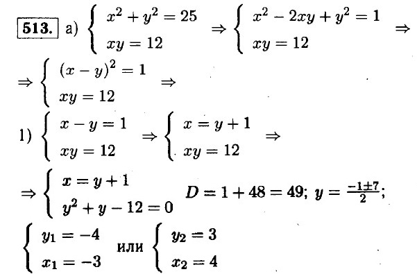
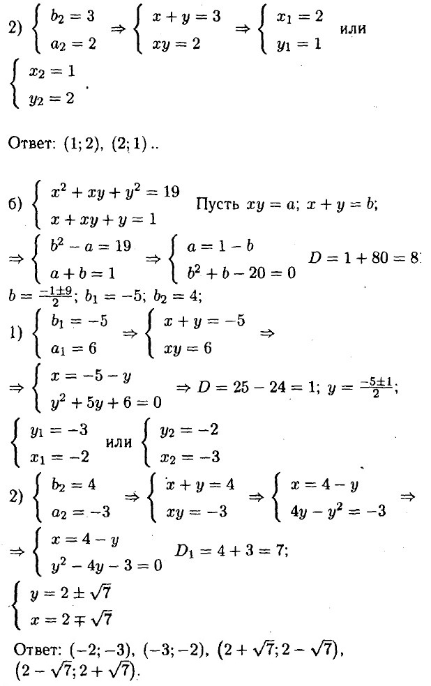
Некоторые приемы решения систем уравнений второй степени с двумя переменными (окончание)

<<< К началу

 

 

???????@Mail.ru