Главная >> Домашние работы к учебнику Макарычева. Алгебра 9 класс

§ 8. Неравенства с двумя переменными и их системы

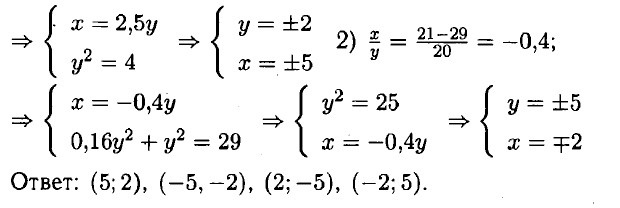
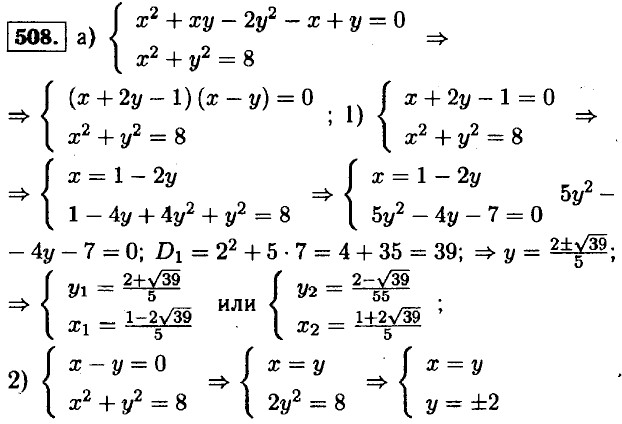
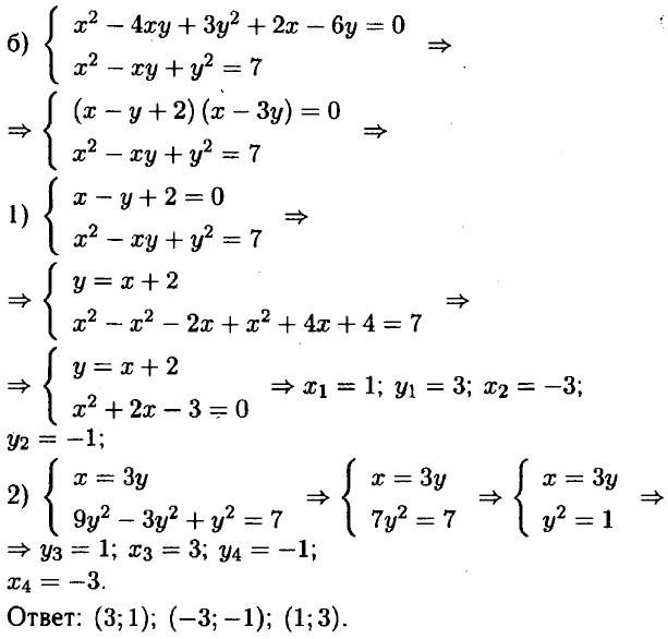
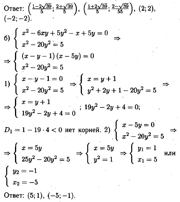
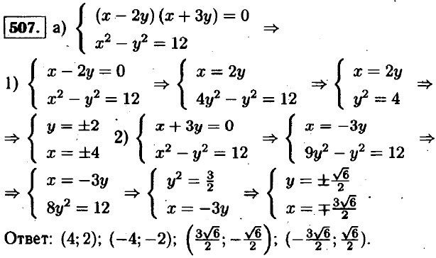
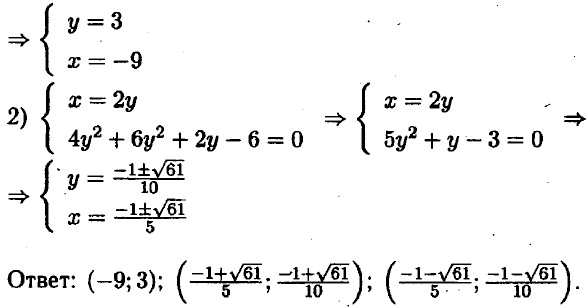
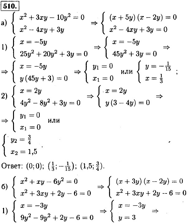
Некоторые приемы решения систем уравнений второй степени с двумя переменными

Окончание >>>

 

 

???????@Mail.ru