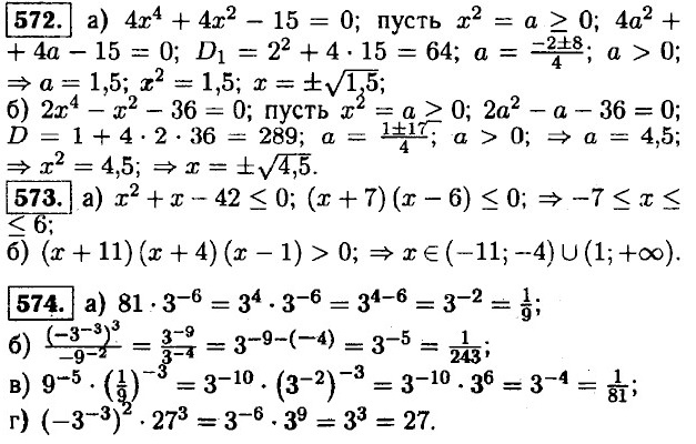
Главная >> Домашние работы к учебнику Макарычева. Алгебра 9 класс

§ 9. Арифметическая прогрессия

Последовательности

 

 

???????@Mail.ru