Главная >> Домашние работы к учебнику Макарычева. Алгебра 9 класс

§ 9. Арифметическая прогрессия

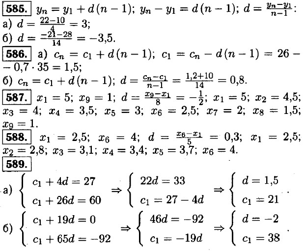
Определение арифметической прогрессии. формула n-го члена арифметической прогрессии

Окончание >>>

 

 

???????@Mail.ru