Главная >> ГДЗ к учебнику Макарычева. Алгебра 9 класс

§ 2. Квадратный трехчлен

Квадратный трехчлен и его корни (окончание)

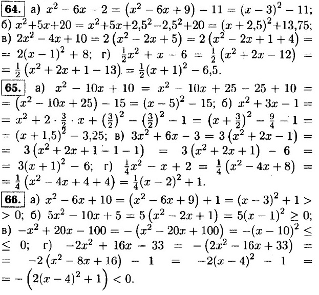
67. х2 - 6х + 11 = (х2 - 6х + 9) + 2 = (х - 3)2 + 2 > 0; -х2 + 6х - 11 = -(х2 - 6х + 11) = -(х - 3)2 - 2 < 0.

68. 2x2 - 4x + 6 = 2 (x2 - 2х + 3) = 2(x2 - 2x + 1 + 2) = 2(x — 1)2 + 4; минимальное значение 4 так как 2(x - 1)2 > 0; 2(x - 1)2 = 0; х = 1.

<<< К началу

 

 

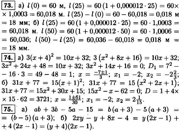
???????@Mail.ru