Главная >> Домашние работы к учебнику Макарычева. Алгебра 9 класс

§ 2. Квадратный трехчлен

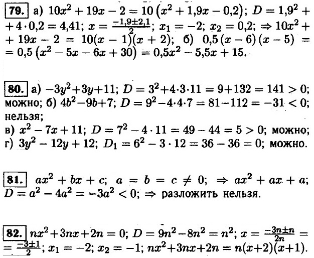
Разложение квадратичного трехчлена на множители

Окончание >>>

 

 

???????@Mail.ru