Главная >> Домашние работы к учебнику Макарычева. Алгебра 9 класс

Упражнения для повторения курса 7-9 классов

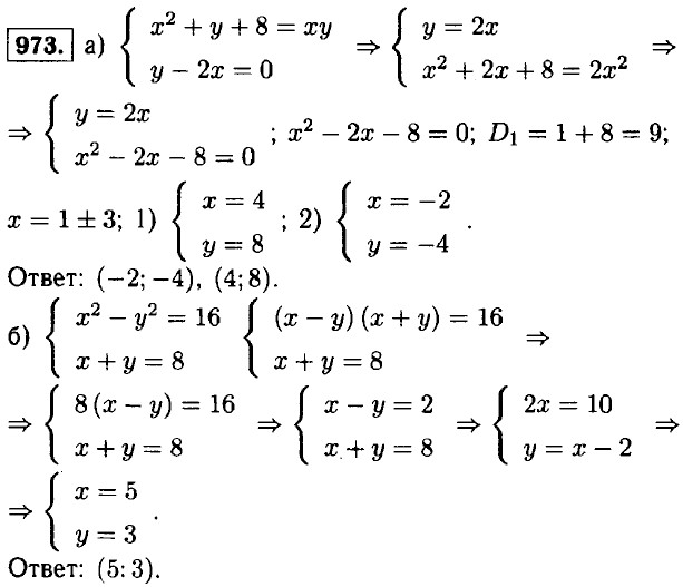
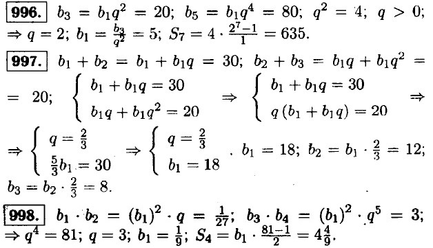
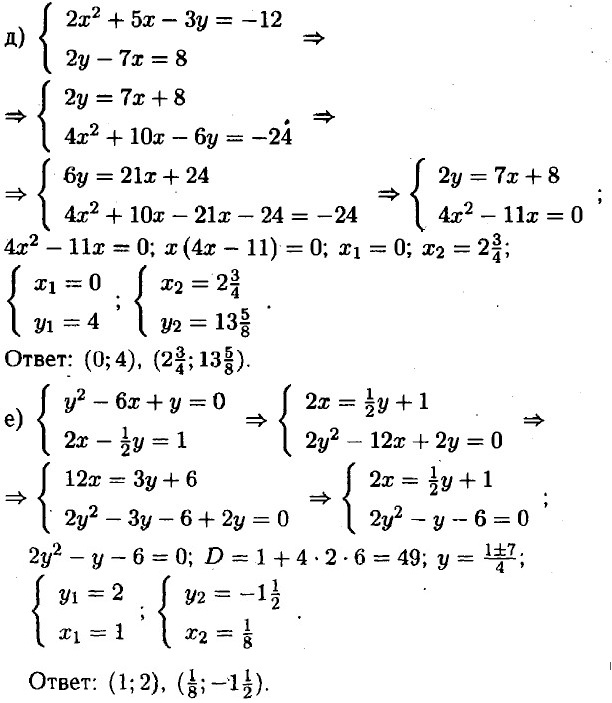
Уравнения и системы уравнений

<<< К началу

 

 

???????@Mail.ru