Главная >> Домашние работы к учебнику Макарычева. Алгебра 9 класс

Упражнения для повторения курса 7-9 классов

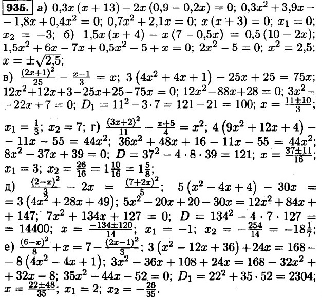
Уравнения и системы уравнений. Алгебра

Окончание >>>

 

 

???????@Mail.ru