Главная >> Задачник по физике 9 класс. Генденштейн

Атомы и звёзды

Ядерные реакции. Ядерная энергетика
Первый уровень

19.11. Каковы отличия ядерных реакций от химических?

19.12. Почему нейтроны проникают в ядра атомов легче, чем протоны?

19.13. Является ли самопроизвольное деление ядра ядерной реакцией?

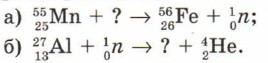
19.14. Напишите недостающие обозначения в следующих ядерных реакциях:

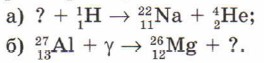
19.15. Напишите недостающие обозначения в следующих ядерных реакциях:

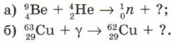
19.16. Напишите недостающие обозначения в следующих ядерных реакциях:

<<< Разминка      2 уровень >>>

 

 

???????@Mail.ru