Главная >> Задачник по физике 9 класс. Генденштейн

Атомы и звёзды

Ядерные реакции. Ядерная энергетика
Второй уровень

19.17. Как идет реакция деления ядер урана: с выделением энергии в окружающую среду или с поглощением энергии?

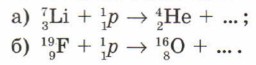
19.18. Закончите запись ядерных реакций:

19.19. Закончите запись ядерных реакций:

19.20. Ядра каких атомов (обозначенные через X) участвуют в реакциях или являются их продуктом:

19.21. Нарисуйте схему цепной ядерной реакции. Число каких частиц увеличивается при цепной реакции?

19.22. Что происходит при лавинообразном увеличении числа делящихся ядер?

19.23. Почему самоподдерживающаяся цепная ядерная реакция возможна только при достаточно большой массе делящегося вещества?

19.24. Каково главное свойство управляемой ядерной реакции?

<<< 1 уровень       3 уровень >>>

 

 

???????@Mail.ru