Главная >> Задачник по физике 9 класс. Генденштейн

Прямолинейное равномерное движение

Прямолинейное равномерное движение: Ответы, указания, решения

2.9. В 1,5 раза.

2.15. 20 м/с.

2.16. 1 мин.

2.17. За 50 ч. 2.20. Нет (например, тело может двигаться криволинейно).

2.21. Нет (например, тело может каждую секунду совершать «скачок» длиной 2 м).

2.22. Первое тело — 15 м, второе — 6 м.

2.24. 9 м.

2.26. 7 км/ч. Указание. Скорость лодки относительно земли при движении по течению равна сумме скорости лодки относительно воды и скорости течения, а при движении против течения — разности этих скоростей.

2.27. 2 км/ч.

2.28. 2 м.

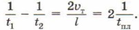
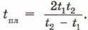
2.31. 8 ч. Решение. Обозначим расстояние между пристанями l, скорость лодки относительно воды υл, а скорость течения υт. Тогда поскольку плот движется со скоростью течения. Из написанных уравнений получаем Следовательно,

2.32. 6 ч; через 4 ч.

2.33. В верхней — 18 км/ч, нижняя часть гусеницы покоится относительно земли. Решение. Очевидно, что нижняя часть гусеницы относительно земли покоится. Перейдем теперь в систему отсчета, связанную с трактором. В этой системе отсчета верхняя и нижняя части гусеницы движутся в противоположных направлениях с одинаковыми по модулю скоростями. Обозначим модуль этих скоростей u. Поскольку скорость нижней части гусеницы относительно земли равна нулю, получаем υ - u = 0, т. е. υ = u. Скорость верхней части гусеницы относительно земли υ + u = 2υ, т. е. эта скорость в 2 раза больше скорости трактора.

2.34. 90 км/ч.

2.35. 6 км/ч.

2.36. Через 2 и 4 ч. Указание. Решить задачу — значит найти все ее решения.

2.37. а) 3 ч; б) 60 км.

2.38. В 7,5 раз.

2.39. 2 км/ч. Указание. Скорость движения байдарки относительно бутылки была одинаковой по модулю при движении туда и обратно, поэтому турист возвращался к бутылке тоже 45 мин.

2.40. 20 км.

<<< Третий уровень

 

 

???????@Mail.ru