Главная >> Задачник по физике 9 класс. Генденштейн

Механические явления

Простейшие случаи неравномерного движения

    Чем скорее проедешь, тем скорее приедешь.

      Козьма Прутков

    неравномерного движения


Пример решения задачи

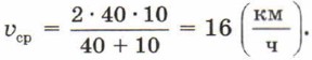
Мотоциклист первую половину пути при переезде по прямой дороге из одного пункта в другой ехал со скоростью υ1 = 40 км/ч, а вторую половину пути — со скоростью υ2 = 10 км/ч. Определите среднюю скорость движения мотоциклиста.

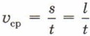
Р е ш е н и е. Обозначив весь пройденный путь 2l, а все время движения t, запишем

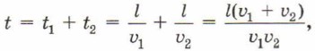
Мотоциклист проехал первую половину пути за время а вторую половину пути — за время Полное время движения

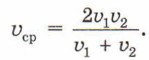
откуда

Проверим единицы величин:

Подставим числовые значения:

О т в е т: 16 км/ч.


Устная разминка

3.1. Какое движение является неравномерным:

    а) движение автобуса между двумя остановками;
    б) движение парашютиста между моментами прыжка и приземления;
    в) движение автомобиля, перед которым зажегся красный свет светофора;
    г) движение падающей капли дождя?

3.2. На фотографиях (рис. 33) изображены: спуск парашютиста в безветренную погоду; движение поезда между двумя станциями; движение эскалатора метро. На какой из фотографий показано неравномерное движение?

    Рис. 33

3.3. Чему равна мгновенная скорость камня, брошенного вертикально вверх, в верхней точке траектории?

3.4. Автомобиль за 3 ч проехал по прямой дороге 180 км. Какова средняя скорость его движения на всем пути?

1 уровень >>>

 

 

???????@Mail.ru